兰州一品阁论坛 ,老哥稳全国茶楼最新消息一品楼ypl免费论坛 ,xunleba全国信息论坛,老哥稳论坛官网登录入口

3351(压力、差压)变送器的现场应用原理介绍

发布时间:2025-06-02 ??? 浏览次数:
 3351系列压力变送器、差压变送器是对中低压蒸汽、氮气、压缩空气等能源介质的瞬时量和累积流量进行统计的仪表,是工矿企业能源核算的重要依据。随着工矿企业对降低生产成本考核,要求能源计量一次仪表测量精度高,故障率低,性价比高,投运率高,长期稳定地提供准确数据。
1差压式流量计的测量原理
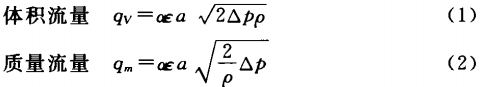
  流量基本方程式是阐明流量与压差之间定量关系的公式,是根据流体力学中的伯努利方程和连续性方程推导出来的,即
 
式中
α---流量系数;
?---流束的膨胀校正系数;
a---孔板节流截面积;
△p---节流元件前后的压差,Pa;
?---工作状态下流体密度,kg/m³。
  由式(1)、(2)可知,当α,?,a,ρ一定时,流量与差压的平方根成比例。
2智能变送器的测量t原理及特点
  通过比较,选用忠和测控仪表3351DP差压变送器和1台3351GP压力变送器。
2.1  3351DP差压变送器和1台3351GP压力变送器工作原理
1)3351变送器仍然使用与普通型变送器一样的δ室传感器,工作时,过程压力(流量差压)通过变送器膜盒高、低压侧的隔离膜片和填充液传递到δ室传感器中心的传感膜片(可动电.容极板)上。传感膜片是一个张紧的弹性元件,其位移随所受差压而变化,其最大位移量为0.1mm且位移量与压力成正比。两侧的固定电容极板检测传感膜片的位置。传感膜片和固定电容极板之间电容的差值由转换电路转换为相应的电流信号或数字Hart输出信号。
测量转换基于如下关系式。
 
式中p一被测压力(或差压);
K1一常数;
CH一高压侧(测量压力侧)极板和测量膜片之间的电容;
CL一低压侧(参考压力侧)极板和测量膜片之间的电容。
  3351智能变送器使用代码为S的智能电路板。转换电路线路板采用专用集成电路(ASICS)和表面封装技术,接收传感器的数字信号并进行修正和线性化处理,输出部分将数字信号转换为模拟输出信号。并可与Hart通信器(如275型通信手操器)通信,Hart通信器可直接存取传感器的数字信号和对变送器进行组态、测试。组态数据存储在非易失性EEPROM存储器中,即使变送器断电,数据仍能保存。过程变量则以数字数据方式保存,可进行正确地修正和工程单位换算。
2)3351智能变送器采用新型的共面传感膜头,具有很高的灵活性,传感器远离过程法兰,移至外壳的颈部,从而实现了机械隔离和热隔离。传感膜头还可进行温度测量,用于补偿温.度影响。出厂测试时的数据和修正系数都存储在传感膜头的内存中,便于使用,在更换线路板时无需重新校验或拆下独立的储存修正系数的PROM。传感膜头内置线路板用于将电容信号与温度信号直接转换为可供转换电路板进一步处理的数字格式信号。
2.2主要技术数据
 3351单晶硅变送器除选用S代码的智能电路板和智能功能外,其余与普通3351变送器基本相同,技术参数不再多述。3351单晶硅变送器的主要技术数据。
1)精度:±0.075%FS
2)稳定性:0.25%,5A,(25℃)。
3)量程比:100:1。
4)更新速率:最少每秒20次。
5)多种输出:标准4~20mADC叠加Hart数字线性或平方根信号,工作电源10.5~30VDC,通讯要求至少有250Ω回路电阻;
6)指示:可选两行5位液晶显示表头。
7)环境温度:-40~85℃。
8)变送器外部有量程与零点按钮用于校验。
9)电源:24VDC;不带负载时,工作电源可为12~45VDC。
10)单向超负荷极限:0~14MPa。
3、3351变送器与DCS组成测量t回路
 下图给出3351变送器与DCS组成测量回路的简单示意图。
 
 3351由控制室DCS供电,采用安全栅进行供电隔离,然后这些信号送到DCS的FTA接线端子。真正流量显示,流量累积还需要DCS通过组态,进行压力补偿,才能完成。流量现场显示为中央控制室显示。
 差压式流量计常规设计时,由式(1)和式(2)可以看出,把α,ρ,?均作为不变常数来考虑,则qv正比于△p的平方根。但在实际测量中,p,T不可能不变,例如现场用的700kPa蒸汽,当压力波动达.10%时,qv的误差可达到5%~15%。由此可见,对压力作自动修正是必不可少的。
引用公式进行修正后的流量qv'为
 
式中qv'一修正流量;
qv一计算流量;
p一计算压力;
p'一实际测量压力;
K一-实际测量温度;
K'一实际测量温度;
?一计算流束膨胀系数;
?'一实际流束膨胀系数。
因为温度、压力变化引起密度变化,引人密度校正公式。
ρ=ρk+△p(p-pk)(5)
△p=(ρmax-ρk)/(pmax一pk)
式中ρ一工作状态下的流体密度;
ρk一最低压力下的流体密度;
△ρ一修正范围内的平均流体密度;
p一工作压力;
Pk一修正范围内的最低压力。
上一篇:浅析热电阻的常见故障与解决办法   下一篇:耐震压力表分类选择介绍